產品中心
相關產品
中藥標準品
|
產品編號 |
英文名稱 |
CAS號 |
包裝 |
|
Y3682 |
Dihydroartemisinin |
71939-50-9 |
可根據客戶要求訂制 |
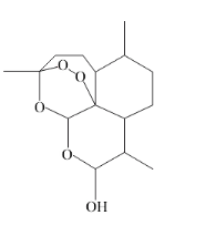
英文名稱:Dihydroartemisinin
CAS號:71939-50-9
分析標準品,≥98%
分子式 C15H24O5 分子量284.35

基本信息:
密度 1.24
熔點 145-150°C
溶解性 Soluble in DMSO (57 mg/ml) at 25 °C, ethanol (14 mg/ml) at 25 °C, and water (<1 mg/ml) at 25 °C.
存貯條件 儲存溫度2-8°C
描述
產品介紹 無臭,味苦。在氯仿中易溶,在丙酮中溶解,在甲醇或乙醇中略溶,在水中幾乎不溶。
別名 雙氫青蒿素;β-Dihydroartemisinin; (3R,5aS,6R,8aS,9R,12R,12aR)-Decahydro-10-hydroxy-3,6,9-trimethyl-3,12-epoxy-12H-pyrano[4,3-j]-1,2-benzodioxepin;Alaxin; Cotecxin; Cotexin; DHQHS 2; Dihydroartemisinine; Dihydroqinghaosu.
應用 抗瘧藥;抗銀屑病;抗炎劑。
- 上一條:脫水穿心蓮內酯琥珀酸半酯
- 下一條:隱綠原酸
