產品中心
中藥標準品
|
產品編號 |
英文名稱 |
CAS號 |
包裝 |
|
Y3587 |
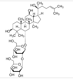
Ginsenoside Rf |
52286-58-5 |
可根據客戶要求訂制 |
英文名稱:Ginsenoside Rf
CAS號:52286-58-5
分析標準品,≥98%
分子式 C42H72O14 分子量801.01

基本信息:
密度 1.33
存貯條件 儲存溫度2-8℃
描述
產品介紹 Ginsenoside Rf, a glycoside of protopanaxatriol from Panax ginseng, is shown to be a biologically active saponin found to regulate lipoprotein metabolism. Mechanistic studies report that this regulation is done via altering of peroxisome proliferator-activated receptor α (PPARα)-mediated pathways. PPARα has demonstrated the ability to regulate C-III mRNA and basal levels of hepatic apoA-I (apolipoprotein A-I) which affect lipoprotein metabolism. Additional experiments have also observed this Ginsenoside Rf's ability to inhibit Ca2+ channels in mammalian sensory neurons in vitro.
別名 人參皂甙Rf;(3β,6α,12β)-3,12,20-Trihydroxydammar-24-en-6-yl 2-O-β-D-glucopyranosyl-β-D-glucopyranoside
應用 A glycoside found to mediate lipoprotein metabolism
- 上一條:沒食子酸兒茶素沒食子酸酯
- 下一條:圣草次苷
