產品中心
相關產品
中藥標準品
|
產品編號 |
英文名稱 |
CAS號 |
包裝 |
|
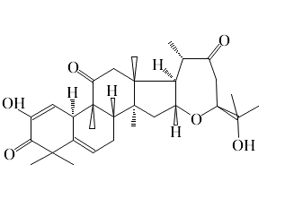
Y3742 |
Hemslecin A |
60137-06-6 |
可根據客戶要求訂制 |
英文名稱:Hemslecin A
CAS號:60137-06-6
分析標準品,>98%
分子式 C30H42O6 分子量498.651

基本信息:
描述別名 雪膽素甲 ;雪膽甲素;
應用 清熱解毒,健胃止痛。用于胃痛,潰瘍病,上呼吸道感染,支氣管炎,肺炎,細菌性痢疾,腸炎,泌尿系感染,敗血癥及其他多種感染。
