產品中心
農殘、獸藥及化肥類
|
產品編號 |
英文名稱 |
CAS號 |
包裝 |
|
Y1544 |
Bifenthrin |
82657-04-3 |
可根據客戶要求訂制 |
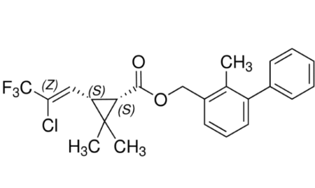
產品編號:Y1544
英文名稱:Bifenthrin
CAS號: 82657-04-3
分析標準品
分子式 C23H22ClF3O2 分子量422.87

基本信息:
敏感性 對光敏感
密度 1.212
存貯條件 避光、陰涼、干燥處貯存。
描述
產品介紹 在水中溶解度為0.1mg/l,溶于丙酮、氯仿、二氯甲烷、乙醚,甲苯,庚烷。微溶于戊烷,甲醇,原藥在25℃穩定1年以上,在常溫下貯存穩定性大于1年。在PH5-9(21℃)穩定21天,在土壤中DT50-65-125天。
別名 聯苯菊酯 ;氟氯菊酯,天王星,蟲螨靈,畢芬寧 ;3-[(1Z)-2-Chloro-3,3,3-trifluoro-1-propenyl]-2,2-dimethylcyclopropanecarboxylic acid (2-methylbiphenyl-3-yl)methyl ester
