產品中心
生命科學標準品
|
產品編號 |
英文名稱 |
CAS號 |
包裝 |
|
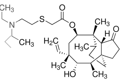
Y0754 |
Tiamulin |
55297-95-5 |
可根據客戶要求訂制 |
產品編號:Y0754
英文名稱:Tiamulin
CAS號 55297-95-5
分析標準品
分子式 C28H47NO4S 分子量493.74
基本信息:
密度1.1
描述
別名泰妙菌素 ;(1S,2R,3S,4S,6R,7S,14R)-6-[(2-Diethylaminoethylthio)acetoxy]-3-hydroxy-2,4,7,14-tetramethyl-4-vinyltricyclo[5,4,3,01.8]tetradecan-9-one
