產品中心
相關產品
食品和飲料標準品
|
產品編號 |
英文名稱 |
CAS號 |
包裝 |
|
Y3284 |
Saccharin sodium salt solution |
82385-42-0 |
可根據客戶要求訂制 |
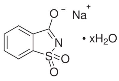
產品編號:Y3284
英文名稱:Saccharin sodium salt solution
CAS號 82385-42-0
1.00mg/mL,基體:純水
分子式 C7H4NNaO3S·xH2O 分子量205.17
基本信息:
敏感性 對光敏感
密度 1
熔點 226-231°C
存貯條件 常溫避光處保存。
描述
產品介紹 易溶于水,略溶于乙醇。無臭,味甜帶苦。
別名 糖精鈉鹽二水合物,鄰磺酰苯酰亞胺鈉鹽,可溶性糖精,糖精;
