產品中心
相關產品
中藥標準品
|
產品編號 |
英文名稱 |
CAS號 |
包裝 |
|
Y3692 |
Dihydromyricetin |
27200-12-0 |
可根據客戶要求訂制 |
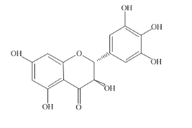
產品編號:Y3692
英文名稱:Dihydromyricetin
CAS號:27200-12-0分析標準品,≥98%
分子式 C15H12O8 分子量320.25

基本信息:
密度 1.808
描述
別名 二氫楊梅素 ;(2R,3R)-3,5,7-三羥基-2-(3,4,5-三羥基苯基)苯并二氫吡喃-4-酮 ;Ampelopsin (2R,3R)-3,5,7-Trihydroxy-2-(3,4,5-trihydroxyphenyl)chroman-4-one
應用 本品為葡萄屬植物藤茶提取物,藤茶中的主要活性成分為黃酮類化合物,此類物質具有清除自由基、抗氧化、抗血栓、抗腫瘤、消炎等多種奇特功效;而二氫楊梅素是較為特殊的一種黃酮類化合物,除具有黃酮類化合物的一般特性外,還具有解除醇中毒、預防酒精肝、脂肪肝、抑制肝細胞惡化、降低肝癌的發病率等作用。
