產品中心
生命科學標準品
|
產品編號 |
英文名稱 |
CAS號 |
包裝 |
|
Y0727 |
Neomycin sulfate |
1405-10-3 |
可根據客戶要求訂制 |
產品編號:Y0727
英文名稱:Neomycin sulfate
CAS號 1405-10-3
分析標準品
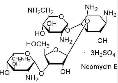
分子式 C23H46N6O?3H2SO4?xH2O 分子量908.88
基本信息:
敏感性對光線和濕度敏感
存貯條件儲存溫度2-8℃
描述
產品介紹溶于水。 水中溶解度:500 g/L (20°C)
別名新霉素三硫酸鹽水合物;硫酸新霉素水合物;Neomycin trisulfate salt hydrate
生化機理作用方式:與引起錯編的 30S 和 50S(有時為 50S)亞基結合;抑制蛋白質合成的開始和延長。
抗菌譜:革蘭氏陰性和革蘭氏陽性細菌。
應用在沒有影響神經元Na+/Ca2+ 反向轉運蛋白(antiporter)的情況下阻斷電壓靈敏的Ca2+ 通道。
結合到核糖體30S 和 50S 亞單位引起蛋白錯誤編碼;在蛋白合成起間抑制起始和延長。
抗菌譜: 革蘭氏陰性和陽性細菌。
